Logic Masters Deutschland e.V.

Integral Sudoku

(Published on 11. December 2025, 02:22 by PrpLTrtL)

This puzzle requires an algebraic understanding of how to create and solve integrals. You have been warned.

Solve On SudokuPad

1. Normal Sudoku Rules Apply

2. The greater than symbol faces the higher digit

3. Digits across an x symbol add to ten. (i.e. 3x7 or 4x6)

4. The digits across each other on a circle are consecutive

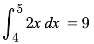
5. At least 3 of the grey vertical lines are “integral” lines, their rules are as follows:

- The number on top of the line is the upper limit of integration whilst the number on the bottom of the line is the lower limit of integration

- The number in the middle of the line is the coefficient of x. (As it appears right before the x in the grid)

- The answer to the integral will go in the cell two spots to the right of the middle of the line (to leave room for a dx and = of course, because it wouldn’t be proper without it)

- The x is always to the power of 1.

- It is up to the solver to determine which lines are "integral" lines. (There must be at least 3)

6. All lines that are not “integral” lines are renban lines. (Digits on the line must all be consecutive but in any order)

An example of how the integral line relates to a real life integral is shown below

Solution code: Row 9:

Last changed on on 11. December 2025, 07:10

Solved by WedgeOfCheese, Wex_Wertly, kid, lrbhandanshi, 72kchunshuai, soyorin, amaoto, Thuna, War, Tacocat, Gilliatt, RadchenkoAleksandr, BeeBoi
Full list

Comments

on 11. December 2025, 20:46 by War
Fun puzzle, the actual logic flows quite nicely, and it's an interesting concept using the integrals. Now there are a lot of different combinations to run through, so I used AI to generate a list of possible integrals. Spoiler below, stop reading if you want to determine the integrals on your own.

-[4,1,2]=6
-[5,1,3]=8
-[4,2,3]=7
-[5,2,4]=9
-[2,6,1]=9

on 11. December 2025, 07:10 by PrpLTrtL
I’m changing it to not be five stars lol

Last changed on 11. December 2025, 04:34

on 11. December 2025, 04:33 by kid
Just list all the combinations

Difficulty:4
Rating:N/A
Solved:13 times
Observed:0 times
ID:000QI1

Math knowledge

Enter solution

Solution code:

Login